Exercices corrigés recherche opérationnelle
►Voir la liste des exercices de la recherche opérationnelle
►Voir solutions des exercices
S2)      Considérons l’ensemble de contraintes suivant:
S3)      Résolvez le problème suivant par la méthode du simplexe
S4)      Résolvez le problème suivant par simple inspection, puis par la méthode du simplexe  
                
S5)      Résolvez le problème suivant par la méthode du simplexe 
S6)      Les dictionnaires ci-dessous ont été obtenus après exécution de quelques itérations de la méthode du simplexe sur différents problèmes. Quelles conclusions pouvez-vous tirer sur base de l’information contenue dans ces dictionnaires?
la solution courante n’est pas optimale; dans ce cas, calculez la solution optimale.
DS1)   Suite de l’exercice S6a).
DS2)   Suite de l’exercice S3).
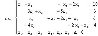
DS3)   Considérons le programme linéaire suivant, exprimé sous forme standard:
DS4)   Soit le problème (P):
  
            
DS5)   Soit le problème suivant (P):
         
DS6)   Soit le problème de programmation linéaire
                    
DS7)   Soit le problème de programmation linéaire
DS8)   Soit le problème de programmation linéaire (P):
            
DS9)   Soit le problème de programmation linéaire
DS10) Soit le problème de programmation linéaire:
DS11) Considérons le programme linéaire suivant
DS12) Considérons le problème de l’exercice DS11.
DS13) Voici la formulation d’un petit problème de transport impliquant 3 entrepôts et 2 clients:
            
►Voir solutions des exercices
Méthode du Simplexe
S1) Ecrivez le problème PL suivant sous forme standard avec des M.d.D. non négatifs:s:
                        Max z = 2x1 + 3 x2  + 5 x3
            Formulez son dual.
S2)      Considérons l’ensemble de contraintes suivant:
Résolvez par la méthode du simplexe le problème obtenu lorsque la fonction objectif est donnée par:
| 
a) | 
max z | 
= | 
  2x1 | 
+   x2 | 
-  3x3 | 
+ 5x4 | 
| 
b) | 
max z | 
= | 
- 2x1 | 
+ 6x2 | 
+ 3x3 | 
-  2x4 | 
| 
c) | 
max z | 
= | 
  3x1 | 
-    x2 | 
+ 3x3 | 
+ 4x4 | 
| 
d) | 
min z | 
= | 
  5x1 | 
-  4x2 | 
+ 6x3 | 
+ 8x4 | 
| 
e) | 
min z | 
= | 
  3x1 | 
+ 6x2 | 
-  2x3 | 
+4x4 | 
S3)      Résolvez le problème suivant par la méthode du simplexe
            max z = 5x1 + 4x2
+ 3x3
+ 3x3
S4)      Résolvez le problème suivant par simple inspection, puis par la méthode du simplexe  
            max z = 5 x1 - 6 x2+ 3 x3 - 5 x4 + 12 x5
S5)      Résolvez le problème suivant par la méthode du simplexe 
On doit organiser un pont aérien pour transporter 1600 personnes et 90 tonnes de bagages. Les avions disponibles sont de deux types: 12 du type A et 9 du type B. Le type A peut transporter, à pleine charge, 200 personnes et 6 tonnes de bagages. Le type B, 100 personnes et 6 tonnes de bagages. La location d’un avion du type A coûte 800.000 F; la location d’un avion du type B coûte 200.000 F. 
S6)      Les dictionnaires ci-dessous ont été obtenus après exécution de quelques itérations de la méthode du simplexe sur différents problèmes. Quelles conclusions pouvez-vous tirer sur base de l’information contenue dans ces dictionnaires?
            Les conclusions possibles sont par exemple:
la solution courante est optimale, et vaut ...;
le problème est non borné parce que ...;
le problème est non réalisable parce que ...;
la solution courante est optimale, et vaut ...;
le problème est non borné parce que ...;
le problème est non réalisable parce que ...;
la solution courante n’est pas optimale; dans ce cas, calculez la solution optimale.
a)         min z
b)        max z
c)         max z
Dualité & Sensibilité
DS1)   Suite de l’exercice S6a).
Quel est le coût réduit de chacune des variables du problème?
DS2)   Suite de l’exercice S3).
            a)  Si le coefficient de la variable x2 dans la fonction objectif augmentait de 2 unités, quel serait l’effet produit sur la solution optimale et la valeur optimale du problème? Et si cette augmentation était de 4 unités?
            b) Quel est le coût réduit de chacune des variables du problème?
            c) Quel est le prix dual de chacune des contraintes d’inégalité du problème?
DS3)   Considérons le programme linéaire suivant, exprimé sous forme standard:
  min z=  2x1  +x2
            a) Calculer le dictionnaire associé à la base B définie par les variables de base x1, x2, x5 .
            b) La solution de base associée à B est-elle réalisable et optimale?
DS4)   Soit le problème (P):
                 max z = 2x1+ 4x2 + 4x3 - 3x4
La base optimale de (P) est
et son inverse
            a)         Formulez le problème dual de (P).
b)         Sur base des informations fournies (et donc, sans utiliser la méthode du simplexe ni la méthode graphique), calculez la solution optimale de (P) et celle de son dual.
Expliquez la méthode que vous utilisez.
Expliquez la méthode que vous utilisez.
            c)         Si la fonction objectif de (P) est remplacée par
            max z = 3x1+ 4x2 + 4x3 - 3x4 ,
la base B donnée ci-dessus reste-t-elle optimale? Justifiez votre réponse.
DS5)   Soit le problème suivant (P):
            max z = 100x1+ 50x2 + 25 x3     
 La base optimale de (P) est
a)    Ecrivez le dual de (P)
b)    Quelle est la solution optimale du programme (P) et celle de son dual?
c)    Dans quel intervalle peut varier le membre de droite de la contrainte (2) sans affecter l’optimalité de B?
DS6)   Soit le problème de programmation linéaire
            max z = 60x1+ 30x2 + 20x3
La résolution de ce problème par la méthode du simplexe permet de calculer la base optimale
a)    Calculez la solution optimale et la valeur optimale du problème.
b)    Calculez et interprétez le prix dual de la contrainte (2).
DS7)   Soit le problème de programmation linéaire
            max z = 30 x1  +  20x2
a)    Résolvez le problème graphiquement.
b)    Sur base de a), déterminez la base optimale B.
c)    Pourrait-on déduire les prix duaux sur base de cette information?
DS8)   Soit le problème de programmation linéaire (P):
            min  z = 500x1 + 500x2 + 500x3 + 300x4 + 425x5
A l’optimum de (P), on a  x1  =  x2  =   x3  =   x5   = 0
a)    Trouvez la solution optimale et la matrice de base optimale pour (P).
b)    A partir de la matrice de base, calculez la valeur optimale des variables duales.
c)    Ecrivez le problème dual de (P).
DS9)   Soit le problème de programmation linéaire
            max  z = 4x1 + 5x2 + 6x3          
a)    Formulez le dual et résolvez-le (par inspection)
b)    Utilisez a) et le théorème de dualité forte pour résoudre le primal.
DS10) Soit le problème de programmation linéaire:
          min z = 2x1 + 3x2
Son dual s’écrit  
max  w=  30y1  +10y2
Déterminez si les solutions suivantes sont réalisables et optimales:
a)         ( x1 = 10, x2= 10/3; y1 = 0, y2 = 1, y3 = 1)
b)         (x1 = 20, x2= 10;  y1 = 1, y2= 4, y3 = 0)
c)         (x1 = 10/3,x2 = 10/3; y1 = 0, y2 = 5/3, y3 =1/3)
DS11) Considérons le programme linéaire suivant
max  z =  5x1  +  2x2  +  3x3
  La solution optimale est donnée par le dictionnaire final
          max z
a)    Ecrivez le problème dual associé.
b)    Déterminez la matrice de base optimale B. Déduisez-en la solution optimale du dual.
c)    Dans quel intervalle peut varier c1 (idem c2, c3) sans affecter l’optimalité de la solution?
d)    Dans quel intervalle peut varier b1 (idem b2) sans affecter l’optimalité de la base B?      
 e)   Déterminez les prix duaux.         
DS12) Considérons le problème de l’exercice DS11.
a)    Supposons que le M. de D. des contraintes devienne (30 + q, 40 - q), où q est un paramètre non négatif. Déterminez les valeurs de q pour lesquelles la base B reste optimale.
b)  Pour chacune des fonctions objectif suivantes, trouvez la nouvelle solution optimale en utilisant la procédure d’analyse de sensibilité.
       i)  max z = 12x1 + 5x2+ 2x3
       ii) min z =2x2 - 5x3
DS13) Voici la formulation d’un petit problème de transport impliquant 3 entrepôts et 2 clients:
            min z =3x11 + 2x12 + 4x21 + x22 + 2x31+ 3x32
(remarquez que le problème est non équilibré).
Ce problème a été mis sous forme standard en introduisant des variables d’écart s1  , s2 et s3 dans les trois premières contraintes, puis résolu par un logiciel utilisant la méthode du simplexe. Voici quelques informations sur la solution optimale: 
·            les variables en base à l’optimum sont x11, x12, x22, x31 et s1;
·            le coût réduit de x21 et celui de x32  sont égaux à 2;
·            les prix duaux des contraintes sont donnés par (y1, y2, y3, y4,y5) = (0, -1, -1, 3, 2).
a)    Mettez le problème sous forme standard (comme suggéré ci-dessus) et formulez son problème dual.
b)    Utilisez l’information donnée plus haut pour calculer la solution optimale du problème et le coût de transport correspondant.
c)    Si le coût unitaire de transport entre l’entrepôt 2 et le client 1 diminuait de 1 unité (passant ainsi de 4 à 3), quelle serait l’incidence de ce changement sur la solution optimale et la valeur optimale calculées précédemment?
d)    Le gestionnaire du troisième entrepôt s’aperçoit qu’il a commis une erreur en évaluant ses stocks: il possède en fait 55 unités en stock. En supposant que la base optimale ne soit pas affectée, quel sera l’effet de cette correction sur le coût de transport optimal?
Files d’attente
F1)      Le responsable d’un parking du centre-ville a compté le nombre de voitures garées dans son parking à différents instants de la journée. En moyenne, il en a trouvé 150. Il sait par ailleurs que, toujours en moyenne, 40 voitures par heure pénètrent dans le parking et y trouvent une place.
            Estimez le temps moyen passé par chaque voiture dans le parking. Expliquez votre approche.
F2)      Des clients arrivent dans un restaurant selon un processus de Poisson au taux de 20 clients par heure. Le restaurant ouvre ses portes à 11 heures.
            Trouvez:
a)         la probabilité d’avoir 20 clients dans le restaurant à 11 h 12 sachant qu’il y en avait 18 à 11 h 07.
b)         la probabilité qu’un nouveau client arrive entre 11 h 28 et 11 h 30 sachant que le dernier client est arrivé à 11 h 25.
F3)      Des patients arrivent à une clinique selon un processus de Poisson. On dispose de l’information suivante: si X représente l’intervalle de temps écoulé entre deux arrivées successives, alors
          Pr [x > 30½x > 15] =  0,6
            Soit N(t) le nombre de clients qui se présentent durant un intervalle de t minutes.
            Calculez Pr [ N(15) = 0 ]. Justifiez votre réponse.
F4)      Les articles d’un stock sont vendus selon un processus de Poisson au taux de 5 articles par jour. Le stock initial est de 80 articles.
            a)         Trouvez la probabilité que 10 articles soient vendus durant les 2 premiers jours.
            b)         Déterminez la probabilité qu’il n’y ait plus d’articles en stock après 4 jours.
            c)         Déterminez le nombre moyen d’articles vendus sur une période de 4 jours.
F5)      Des clients se présentent à une agence de banque au rythme moyen de 10 clients par heure. Ils y sont servis par l’unique employé de l’agence, auprès duquel chaque client passe 5 minutes en moyenne. Selon les données recueillies par le directeur de l’agence, les arrivées de clients et les temps de service semblent caractéristiques de processus de Poisson.
            a)         Quel modèle décrit adéquatement ce système? Expliquez.
            b)         Estimez le temps moyen passé par chaque client dans le système.
                          Le directeur de l’agence décide de licencier son employé et de le remplacer par un employé plus qualité, x fois plus rapide que l’employé actuel, où x est un paramètre au moins égal à 1.
            c)         Estimez le temps moyen passé par chaque client dans ce nouveau système.
            d)        Que doit valoir x pour que le temps ainsi calculé en c) soit réduit à 5 minutes?
F6)      Un aéroport possède une seule piste réservée aux décollages (et une autre réservée aux atterissages). En moyenne, la tour de contrôle reçoit 15 demandes d’autorisation de décoller par heure; ces demandes surviennent selon un processus de Poisson. Par ailleurs, la durée moyenne de chaque décollage est de 3 minutes, mais varie de façon aléatoire selon une loi exponentielle (par « durée de décollage », on entend le temps écoulé entre le moment où la tour donne à un avion l’autorisation de décoller et le moment où elle peut accorder cette autorisation à un (éventuel) avion suivant).
            a)         Quel modèle décrit adéquatement ce système? Expliquez.
b)         Estimez le nombre moyen d’avions en
file d’attente, c’est-à-dire ayant demandé, mais pas encore reçu, l’autorisation de décoller.
file d’attente, c’est-à-dire ayant demandé, mais pas encore reçu, l’autorisation de décoller.
c)         Estimez le temps moyen passé par chaque avion en file d’attente (défini comme en b)).
d)         Quelle est la probabilité qu’un avion qui demande l’autorisation de décoller ne reçoive pas immédiatement cette autorisation, et doive donc attendre?
e)         Par mesure de sécurité, on voudrait réduire à 2 le nombre moyen d’avions gérés par la tour de contrôle (c’est-à-dire, en file d’attente ou en cours de décollage) à tout instant. A combien faut-il réduire la durée moyenne de chaque décollage pour atteindre ce but?
F7)      Des voitures arrivent à un poste de péage selon un processus de Poisson avec une moyenne de 90 voitures par heure. Le temps moyen de passage à ce poste est de 38 secondes. Les automobilistes se plaignent de longues attentes à ce poste.
Les autorités locales désirent alors réduire le temps de passage à 30 secondes en installant un nouveau dispositif automatique. Mais cette modification sera justifiée seulement si, sous l’ancien système, le nombre moyen de voitures dans la file dépasse 5. De plus, le pourcentage de temps creux (c’est à-dire sans voitures) sous le nouveau système ne devrait pas excéder 10%.
Les autorités locales désirent alors réduire le temps de passage à 30 secondes en installant un nouveau dispositif automatique. Mais cette modification sera justifiée seulement si, sous l’ancien système, le nombre moyen de voitures dans la file dépasse 5. De plus, le pourcentage de temps creux (c’est à-dire sans voitures) sous le nouveau système ne devrait pas excéder 10%.
            Le nouveau dispositif peut-il être jusitifié?
F8)      L’infirmerie d’une grosse entreprise emploie deux infirmières qui s’occupent des incidents bénins (petits accidents, malaises, etc.) survenant durant les heures de travail. Les arrivées des patients à l’infirmerie forment approximativement un processus de Poisson; en moyenne, il arrive deux patients par heure. Chaque patient est soigné par une seule infirmière (elles ont des qualifications identiques) et le traitement dure une demi-heure en moyenne (la durée du traitement suit une loi exponentielle).
a)         Quel modèle de files d’attente décrit-il adéquatement cette situation? Précisez tous les paramètres du modèle.
b)         En moyenne, combien de patients se trouvent-ils dans la file d’attente à un instant quelconque de la journée? Combien de temps doivent-ils attendre avant d’être pris en charge par une des infirmières?
F9)      Une agence de banque est modélisée par un système de files d’attente M/M/2. Les clients s’y présentent au rythme de 8 clients par heure. Le temps de service est de 5 minutes par client.
a)         Quelle est la distribution de probabilité de la variable aléatoire « temps écoulé entre deux arrivées de clients successives »?
b)         Calculez la probabilité qu’un client qui se présente à l’agence soit servi sans attendre.
            c)         Calculez le temps d’attente moyen par
client.
client.
d)         Interprétez ce système M/M/2 comme un processus de naissance et de mort particulier.
                        (Quelle est la valeur des paramètres de ce processus?
F10)    Dans un système de files d’attente M/M/2 le temps de service moyen est de 5 minutes et la durée moyenne entre deux arrivées successives est de 8 minutes.
a)         Quelle est la probabilité qu’un client qui se présente doive attendre?
b)         Quelle est la probabilité qu’un serveur au moins soit libre?
c)         Quelle est la probabilité que les deux serveurs soient libres?
F11)    Etablissez le diagramme de transition et les équations d’équilibre d’un système de files d’attente M/M/3 dans lequel un maximum de 5 clients peuvent être simultanément présents.
            Déterminez les probabilités à long terme pn (n ³ 0).
F12)    Un système de files d’attente ne peut contenir plus de 4 clients. 
            Le taux d’arrivée est l = 10 clients par heure et le taux de départ est m = 5 clients par heure. Ces deux taux sont indépendants du nombre n de personnes dans le système. Nous supposons que les processus d’arrivée et de départ suivent une
distribution de Poisson. Dessinez le graphe de transition; puis déterminez ce qui suit:
distribution de Poisson. Dessinez le graphe de transition; puis déterminez ce qui suit:
a)         les équations d’équilibre décrivant le système;
b)         les probabilités stationnaires;
c)         le nombre moyen Ls de clients dans le système;
d)         le taux d’arrivée moyen leff;